С 30 января в украинских кинотеатрах идет фильм "Наши котики". Создатели фильма его обозначают как "комедию об АТО".
Продюсерами фильма, среди прочих, значатся Степан Бандера – внук покойного лидера украинских националистов Степана Бандеры, и экс-министр здравоохранения Ульяна Супрун вместе со своим мужем Марко.
Мы уже рассказывали, о чем был снят новый фильм, в видеоблоге "Ясно.Понятно" с Олесей Медведевой", в выпуске "Кровь, кишки и трэш за 40 миллионов гривен. Обзор фильма Супрун и Бандеры "Наши котики"".
А теперь "Страна" изучила документы, по которым скандальный фильм получил миллионы от украинского государства.
Чем занимались Супрун и Бандера
В создании фильма принимали участие два знаковых персонажа – Супрун и Бандера. Живущий в Канаде внук Степана Бандеры занимается, в основном, продвижением картины среди украинской диаспоры.
А бывшая и.о. министра здравоохранения Ульяна Супрун, видимо, занимается рекламой картины. В последние несколько месяцев большинство постов в своем Фейсбуке она посвятила этому кино:
.png)
Источник: facebook.com/Ulana Suprun
Причем здесь Порошенко
Бюджет картины составил 42 миллиона гривен. Из них больше 10 миллионов заплатило государство в лице Госкино и Украинского культурного фонда (УКФ).
Авторы фильма получили бюджетный грант от УКФ на сумму 8,9 млн грн. Договор был заключен 25 июня 2019 года, то есть уже при новом президенте Владимире Зеленском.
Фондом в то время еще руководила Марина Порошенко – супруга экс-президента. Она заявила о своем уходе с должности 16 декабря прошлого года. Так что и подписание договора, и выплата денег происходили еще во время ее руководства.
Ульяна Супрун покинула пост и.о. министра здравоохранения в августе 2019 года. То есть, бюджетные миллионы на фильм, продюсером которого она сейчас является, были оформлены в последние месяцы ее пребывания на должности.
Ни кола, ни двора
В качестве приложения к договору на получение гранта от Украинского культурного фонда идет заявка на получение денег. В ней авторы фильма подробно и очень откровенно вывалили много подробностей, связанных фильмом.
Например, в заявке сообщается, что кинокомпания "Директория кино", которая получила грант, вообще не имеет собственной материально-технической базы. Все необходимое оборудование и локации кинокомпания только арендует:
.png)
Источник: ucf.in.ua
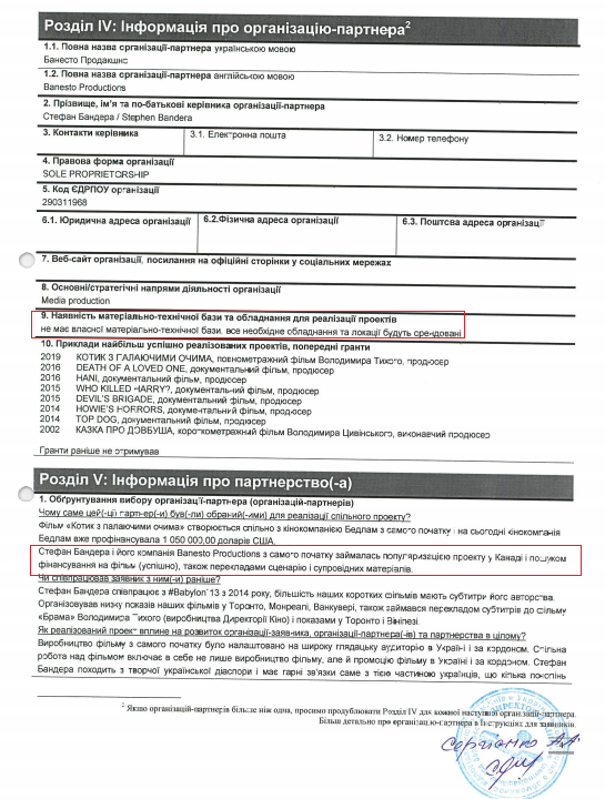
Точно так же не имеет никакого оборудования и партнер проекта – компания Степана Бандеры-младшего "Banesto Productions". Эта фирма занималась поиском финансирования на фильм, популяризацией проекта в Канаде, а также переводами:
.png)
Источник: ucf.in.ua
То есть, 8,9 миллионов государственных средств получили, по сути, две "пустышки", которые не имеют ни своего оборудования, ни съемочных площадок.
400 тысяч "под елочку" от Госкино
Еще, как сообщала "Страна", "комедия об АТО" выиграла также конкурс в Госкино. Это еще один государственный орган, который занимается распределением денег на съемки фильмов.
Поначалу, в мае 2019 года, согласно заявке участника, создатели фильма замахнулись на грант от Госкино на сумму 7,4 млн грн. Но затем аппетиты пришлось уменьшить.
В июле должность главы Госкино покинул Филипп Ильенко – представитель националистической партии "Свобода", возглавлявший ведомство с 2014 года. Новое руководство значительно уменьшило финансирование проектов.
В итоге Госкино выделило "Нашим котикам" вместо 7,4 миллионов господдержки всего 980 тысяч.
Однако перед самым Новым 2020 годом Госкино заключило еще один договор, по которому заплатило дополнительно 399,5 тысяч гривен. Документы опубликованы на сайте госзакупок "Прозорро". Закупка была проведена без какого-либо тендера.
Согласно смете к договору, наибольшую часть этих денег, а именно 142,5 тысячи гривен, потратили на размещение некой рекламы на интернет-сайтах. Перечень сайтов и объемы рекламы при этом не уточняются.
Еще 98,6 тысяч ушло на переработку и доработку тизера (рекламного ролика) к фильму. Это значит, что тизер поначалу был сделан неправильно, и его пришлось переделывать. И за это заплатило Госкино за счет госбюджета:
.png)
Источник: prozorro.gov.ua
В итоге за "котиков" кинокомпания "Директория кино" получила от государства 10,3 млн гривен: 8,9 млн от Украинского культурного фонда и 1,38 млн от Госкино.
Поскольку у самой компании нет ни техники, ни площадей, деньги, скорее всего, ушли арендодателям и субподрядчикам. Среди которых есть компании и Степана Бандеры, и четы Супрун.
Кинокомпания "Директория кино" - это вообще постоянный получатель государственных средств. В конце 2018 года эта фирма получила 15 миллионов на фильм "патриотической" направленности "Забытые". А всего за последние годы эта же фирма получила от Госкино еще почти 24 миллиона гривен на разные фильмы. Все они не имели особого успеха в прокате.
Фальшивки как "раздражители для российской пропаганды"
В заявке на получение гранта подробно расписан план промо-компании фильма. Оказывается, авторы запланировали включить в нее "раздражители" для российской пропаганды.
После этого они запланировали получить реакцию российских медиа по фильму и сформировать ее в месседже "Что плохо врагу - то хорошо украинцу":
.png)
Источник: ucf.in.ua
Российские масс-медиа вообще названы одним из основных каналов коммуникации. Добиться внимания российских медиа авторы решили нехитрым способом – путем создания фальшивок.
Для этого запланировали подготовить ряд ложных тизеров (рекламных роликов) для фильма – специально, чтобы "подогреть активность пророссийских сил в обсуждении фильма". Это якобы должно было "положительно повлиять на промо":
Источник: ucf.in.ua
Одна из таких фальшивок – тизер, в котором известные актеры Голливуда якобы произносят украинские патриотические лозунги. Для этого, например, было использовано изображение актера Нормана Фримена:
.png)
Источник: youtube.com/#babylon'13
Понять, что речь идет о фальшивке, можно из титров в начале этого тизера. Авторы несколько уклончиво сообщают, что пытались "достичь сходства с медийными лицами":
.png)
Источник: youtube.com/#babylon'13
Получается, что на продуцирование фальшивок создатели фильма открыто и без тени смущения просили (и получили) деньги из госбюджета. И деньги выдал не только Украинский культурный фонд, но и Госкино, о чем мы расскажем дальше в этой статье.
Для людей с травмированной психикой
Аудиторию для фильма авторы выбрали достаточно ограниченную. Целями фильма несколько раз были названы психотерапия и борьба с посттравматическими расстройствами:
- "это не просто еще один фильм, это художественная терапия для украинского общества";
- "фильм в иронической комедийной форме позволит украинцам избавиться травм войны";
- "ирония и юмор дадут возможность пережить воспоминания о тяжелых временах и таким образом избавиться пост-травматичности этих событий, жить дальше с чувством выполненного дела".
.png)
Источник: ucf.in.ua
Источник: ucf.in.ua
То есть, новый фильм, по замыслу авторов, является лекарством от посттравматического расстройства. И рассчитан на аудиторию людей с травмированной психикой.
"Новая волна в украинском кино"
Создатели фильма весьма высокого мнения о себе. По их глубокому убеждению, этот фильм является "наиболее актуальным и ожидаемым кино о современной войне в Украине":
.png)
Источник: ucf.in.ua
Еще фильм "должен создать новую волну украинского кино и вернуть доверие широкой аудитории к отечественным фильмам":
.png)
Источник: ucf.in.ua
Свой фильм авторы сравнивают с картинами "Vice" ("Власть") Адама МакКея и "Фаренгейт-911" Майкла Мура. Без лишней скромности "Наших котиков" назвали "уникальным на сегодняшний день в аудиовизуальном секторе":
.png)
Источник: ucf.in.ua
В общем, планировался шедевр. Однако, судя по последним данным, кассовые сборы фильма оказались достаточно скромные – за две недели проката собрано всего 6,5 млн грн.
Как сообщала "Страна", министр культуры Владимир Бородянский одобрил работу Марины Порошенко на посту главы Украинского культурного фонда.
Ранее "Страна" приводила объяснения Бородянского, почему в Украине надо ограничивать свободу слова. Также министр культуры Бородянский хочет сажать не только журналистов, но и блогеров.
А директор Института сердца Минздрава Украины, знаменитый кардиохирург Борис Тодуров прооперировал актера, который сыграл его полного тезку - сепаратиста в фильме "Наши котики", который продюсировала Супрун.
Ранее мы объясняли, в чем причина медицинской войны Тодурова против Супрун и кто в ней прав.
Как сообщала "Страна", знаменитый кардиохирург Борис Тодуров обвинил руководство Минздрава в массовой гибели украинцев.




