Наличный курс гривны продолжает падать. Фото Национального банка
Наличный курс гривны продолжает падать. Фото Национального банка

Переполох на валютном рынке закончился 27 марта на позитивной ноте — откатом курса. Благодаря ему удалось отыграть 15-копеечное подорожание доллара с утра, и вернуться на исходную точку. Неделя на межбанке завершилась в рамках 28,11-28,20 грн/$ — также как вчерашние торги. 

Наличному рынку это не сильно помогло. Там средние курсы поднялись на 10 копеек в первой половине дня, и остались на эти же уровнях до вечера: 28,60-28,80 грн/$ — на продаже и 27,90-28,10 грн/$ — на покупке. Максимальная цена продажи в упор подошла к 30 грн/$, но не перешла черту — региональные банки ставили 29,99 грн/$. В основном маленькие. Именно те, кого Нацбанк не подпускает к завозимой в Украину долларовой наличности. Крупные финучреждения рассказывают, как перепродают им наличность, но в эти сказки верит только НБУ, а в регионах из-за дефицита банкноты продолжает расти наличный курс доллара.

Безналичная торговля на межбанке могла сегодня завершиться даже лучше для гривны. На протяжении дня котировки падали на 28,0 грн/$ и даже ниже. Однако в конце дня "отстрелили" наверх. Казначеев немного запутала непонятная игра Нацбанка на сегодняшних торгах. Когда безналичный курс подскочил на 28,35 грн/$, НБУ вышел с продажей $16 млн по 28,25 грн/$. Однако, когда рынок провалился ниже 28,0 грн/$, регулятор стал на покупку валюты по 27,90 грн/$. Ни одного цента он не купил, но дал всем понять, что стоимость валюты, в понимании чиновников, должна быть повыше.

Казначеи хором уверяли, что если бы не Нацбанк, то межбанк к концу дня на 28,20 грн/$ не вышел бы. Курс доллара был бы ниже. Зачем НБУ дорогой доллар сейчас — точно неизвестно. Может готовит почву для валютных продаж НАК "Нафтогаз", которые вскользь анонсировал на этой неделе заместитель председателя Нацбанка Олег Чурий — дивидендами от госкомпании будут латать дыры в госбюджете. А может и по другим причинам. Валютные дилеры давно махнули рукой на странную торговую стратегию НБУ на межбанке — он любит, чтобы его действия были непредсказуемыми. Но профучастники давно называют это "мальчишескими выходками", и даже не пытаются те предсказывать.

Но справедливости ради, стоит признать, что были и объективные причины для повышения валютных котировок. Главная новость для сегодняшнего вечера — это платежи Госказначейства.

"Финальная коррекция безналичного курса произошла после активизации валютного спроса на возврате НДС экспортерам", — подтвердил "Стране" директор казначейства Банка Кредит Днепр Олег Куринной.

27 марта бизнесу было перечислено в рамках возмещения по НДС 2,4 млрд грн. Общая сумма выплат за последние несколько дней превысила 4 млрд грн.

Утренний скачок курса доллара на 15 копеек (до 28,35 грн/$) объяснили двумя факторами:

1. Минимальным предложением и покупками доллара импортерами на фоне негативных новостей о наполнении госбюджета и высказываниях руководителя МВФ об Украине. Кристалина Георгиева заявила, что для программы расширенного кредитования (EFF) наша страна должна принять не один, как надеялись многие, а целых два законопроекта. Не только банковского, который еще называют "законом против Коломойского", но и земельного — по земельной реформе. Так что стало ясно, что быстро новую программу от МВФ мы не получим. В ее скорое принятие, особенно в условиях коронавирусного карантина, верят немногие.

2. Покупками доллара нерезидентами, продолжающих выходить из гривневых ОВГЗ, и выводящими капиталы из Украины.

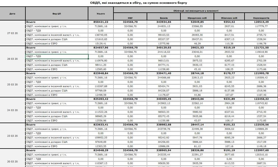
Согласно официальной статистике Нацбанка, с 26 по 27 марта нерезидентский портфель гривневых гособлигаций сократился на 1,2 млрд грн (с начала недели — на 2,5 млрд грн, с начала месяца — 7,6 млрд грн) — со 119,02 млрд грн до 117,78 млрд грн. В пересчете на доллар месячная сумма оттока составит более $270 млн (7,6 млрд грн). Если верить заявлению регулятора, то он продал за месяц порядка $1,5 млрд, то есть иностранцам досталось 40,5% проданного НБУ из резерва. Еще не половина, но близко.

Но еще более показательной будет математика сегодняшнего дня. Если пересчитать на доллар суточное уменьшение нерезиденсткого портфеля на 1,2 млрд грн, о котором сообщил Нацбанк, то получится $42,4 млн (по курсу 28,25 грн/$ — сегодняшнему курсу продажи доллара от НБУ). Как любит говорить Олег Чурий, — это небольшая или незначительная часть. Однако не хочет говорить, что она была "небольшой и незначительной" пока суточные объем торгов на межбанке достигал $400-500 млн (так было где-то неделю назад). Однако на этой неделе это совсем не так. Сегодня, 27 марта, общий объем безналичных торгов вышел на очень скромную цифру — порядка $140 млн. На таких значениях по курсу гривны бьет покупка даже $10 млн, не то, что $42,4 млн. Такой объем за раз способен серьезно не только поколебать рынок, но и сильно ударить по гривне. Все, что стараются делать иностранцы на нашем малоликвидном рынке — это делать свои валютные покупки частями, чтобы не сильно качать рынок и курс, но это у них не всегда получается.

Казалось бы, все очевидно и понятно. Но неясно, почему тогда правление Нацбанка (особенно ответственный зампред Чурий) что есть мочи доказывает общественности малозначимость валютных покупок иностранных держателей ОВГЗ на межбанке?

Объяснение очень простое. Именно это правление НБУ в свое время раскрутило украинские гособлигации среди иностранцев и открыли им прямой доступ на наш внутренний рынок. Год назад продажи бумаг Минфина нерезидентами преподносилось всем как огромное достижение, его даже называли словом "инвестиции". Причем, именно Олег Чурий вовсю убеждал журналистов и профессиональных участников финансового рынка, что риски от захода иностранцев во внутренний госдолг Украины — минимальны. Что это не навредит Украине, а даст только пользу. Ведь Нацбанк активно скупал у иностранцев доллар, когда они приобретали наши ОВГЗ, и наполнял им свои золотовалютные резервы. Это позволяло создать "валютную подушку" безопасности и платить по госдолгу.

Но когда из-за коронавируса упали мировые рынки и украинская гривна в том числе, в Нацбанке не знали, как спасать ситуацию. Изо всех сих пытаются успокаивать панику и излучать спокойствие. Однако реального плана "В" в их действиях рынок до сих не видит. Видит лишь стандартные меры — продажу доллара из резерва. Так поступали все руководители НБУ — от Ющенко и Стельмаха до Арбузова и Смолия. Выходит, что год назад валюту скупали у иностранцев, а теперь отдают им обратно. Конечно, не только им, но и всем остальным тоже — бизнесу, банкам и населению. Но больше ничего это правление Нацбанка придумать не может. Только интервенции. Они и пресс-брифинги со спокойными лицами. Такой вот антикризисный план от регулятора.

ОВГЗ

При этом в НБУ больше всего не хотят только одного — нести ответственность за свои решений и запуск нерезидентов на внутренний долговой рынок. Потому мы продолжим слышать от правления Нацбанка о том, что иностранцы не вредят гривне, потому что покупают не очень много доллара, а золотовалютные резервы уходят в основном на украинский бизнес (который в основном свернулся из-за карантина) и население.

На деле, по мнению банковских казначеев, поведение нерезидентов, желающих вывести капиталы из Украины и помочь деньгами материнским структурам, также пострадавшим от коронавируса у себя на родине, будет играть важную роль. Они открыто говорят об очень скромном спросе на валюту со стороны украинских компаний. Те все меньше и меньше работают в условиях карантина, предприятия затухают с каждым днем.

На следующую неделю эксперты не прогнозируют укрепления гривны, но уверены, в активных курсовых движениях.

"После введения карантина объем торгов на межбанке сократился по объективным причинам (бизнес серьезно свернул деятельность). Потому котировки на рынке меняются даже небольшими покупками/продажами доллара. Курсовой диапазон останется достаточно широком. Открытие безналичных торгов в понедельник, 30 марта, скорее всего произойдет в рамках 28,0-28,30 грн/$", — спрогнозировал "Стране" финансовый аналитик Василий Невмержицкий.

Читайте Страну в Google News - нажмите Подписаться