От 15 до 51 тысячи. Опубликованы зарплаты украинских нардепов в декабре
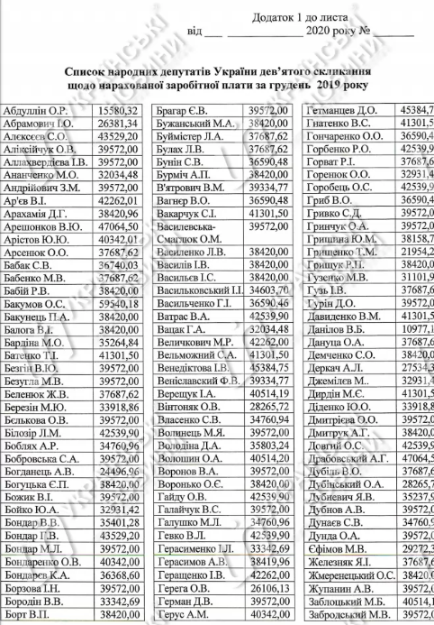
От 32 до 42 тысяч гривен зарплаты получили председатели фракций и групп в Верховной Раде в декабре 2019 года.
Об этом сообщают "Украинские новости" со ссылкой на ответ Верховной Рады на информационный запрос.
В частности, Давид Арахамия на должности председателя фракции "Слуга народа" в декабре получил 38 420,96 грн, его первый заместитель Александр Корниенко - 39 572 грн.
Сопредседатели фракции "Оппозиционная платформа - За життя" Юрий Бойко и Вадим Рабинович получили 32 931,42 грн и 32 034,48 грн соответственно, председатель фракции "Всеукраинское объединение "Батьківщина" Юлия Тимошенко - 39 237,39 грн.
Сопредседатели фракции "Европейская солидарность" Артур Герасимов и Ирина Геращенко за декабрь получили 38 419,96 грн и 42 262 гривны соответственно, глава фракции "Голос" Сергей Рахманин - 40 342 грн.
Сопредседатели группы "За будущее" Виктор Бондар и Тарас Батенко заработали 35 401,28 грн и 41 301,5 грн соответственно, председатель группы "Доверие" Олег Кулинич - 34 487,32 грн.
Самую большую среди нардепов зарплату за декабрь получил депутат от "Оппозиционной платформы" Григорий Мамка - 51 433,36 грн.
Кроме того, депутатам начислили по 76 840 гривен на выполнение депутатских полномочий за декабрь и ноябрь.

.png)


Ранее "Страна" писала о том, что зарплата Зеленского оказалась в разы меньше, чем у министров.
Также мы сообщали, что Гончарук дал старт пересмотру заоблачных зарплат топ-менеджеров государственных компаний.




