Появились данные о голосовании этнических групп США. Фото: aljazeera.com

Во время выборов президента США американские арабы активнее поддерживали республиканца Дональда Трампа, а евреи - демократа Камалу Харрис.

По данным эмиратской газеты Aletihad News Center, американцы арабского происхождения обеспечили Трампу победу в колеблющемся штате Мичиган, где проживает десятая часть всей арабской диаспоры в США - 400 тысяч человек. Проголосовать за республиканца их побудило недовольство политикой Джо Байдена на Ближнем Востоке и по отношению к военным операциям Израиля в секторе Газа и Ливане.

Мичиган наряду со штатами Аризона, Висконсин, Джорджия, Невада, Пенсильвания и Северная Каролина относят к колеблющимся штатам, где исход голосования решает судьбу выборов.

В то же время проводящая экзитполы организация National Election Pool сообщила, что 79% опрошенных евреев голосовали за Харрис и только 21% - за Трампа. Это самая слабая поддержка республиканцев евреями за 24 года.

А по данным канала Fox News, который провел свой анализ предпочтений избирателей в день выборов, 67% евреев проголосовали за Харрис по сравнению с 31% за Трампа. 

За последние десятилетия от 20% до 30% американских евреев поддерживали на национальных выборах республиканцев. Популярность партии среди евреев достигла пика в 1980 году, когда Рональд Рейган получил около 40% голосов евреев. Однако большинство американских евреев, за исключением ультраортодоксов, всегда голосовали за демократов.

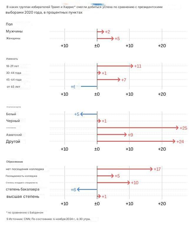
Немецкое издание Der Spiegel заявило, что победу Трампу принесли латиноамериканские граждане, молодежь и женщины.

Хотя республиканец постоянно обещает выдворить нелегальных латиноамериканских мигрантов и достроить стену на границе с Мексикой, 45% латиноамериканцев с паспортом США проголосовали за него, 25% - за Харрис. В 2020 году Трампа поддержали 32% латиноамериканцев.

Среди 18–29-летних избирателей 78-летний республиканец сократил разрыв с показателями 2020 года на 11% пунктов. А в самой многочисленной возрастной группе от 45 до 64 лет увеличил свое преимущество с 1 до 8%.

Среди женщин, по предварительным данным, Трамп набрал даже больше, чем среди мужчин. Хотя Харрис целилась в эту аудиторию с темой абортов.

Среди людей без высшего образования у Трампа также еще больше выросла поддержка.

У Харрис же была большая поддержка среди чернокожих.

"Почему так происходит? Почти 3/4 избирателей Трампа заявили, что в прошлом году инфляция стала причиной семейных трудностей. При этом годовой уровень инфляции недавно составил всего 2,4%. Но многие люди, очевидно, все еще обижаются на Харрис и Байдена за рост цен, вызванный конфликтом России и Украины и энергетическим кризисом в 2022 году. Избиратели Харрис, напротив, назвали состояние демократии самым важным вопросом на выборах. Но похоже, что Трампу удалось лучше мобилизовать своих сторонников, используя проблему инфляции, чем Камале Харрис — с помощью беспокойства о будущем демократии", - пишет издание.

Ранее мы разбирались, почему Харрис проиграла Трампу.

Мы также анализировали возможные последствия прихода Трампа к власти для Украины.

Читайте Страну в Google News - нажмите Подписаться